ਜਲੰਧਰ (ਪੰਕਜ਼ ਸੋਨੀ/ਹਨੀ ਸਿੰਘ):- ਅਪਰਾਧੀਆਂ ਨੂੰ ਫੜਨ ਦੀ ਬਜਾਏ, ਬਸਤੀ ਬਾਵਾ ਖੇਲ ਦਾ ਥਾਣਾ ਮੁਖੀ (SHO) ਖੁਦ ਕਾਨੂੰਨ ਦੇ ਭਗੌੜੇ, ‘ਫਰਾਰ ਆਰੋਪੀ’ ਧਰਮਿੰਦਰ ਮਿਸ਼ਰਾ ਨੂੰ ਨਾਕੇ ‘ਤੇ ਸੁਰੱਖਿਆ ਪ੍ਰਦਾਨ ਕਰਦਾ ਨਜ਼ਰ ਆਇਆ। ਹੈਰਾਨੀ ਦੀ ਗੱਲ ਇਹ ਹੈ ਕਿ ਮਿਸ਼ਰਾ ਸਿਰਫ਼ ਸ਼ਰਾਬ ਤਸਕਰੀ ਨਹੀਂ, ਬਲਕਿ ਗੋਲੀ ਕਾਂਡ ਦੇ ਗੰਭੀਰ ਦੋਸ਼ਾਂ ਤਹਿਤ ਦਰਜ FIR ਨੰਬਰ 128 (ਬਸਤੀ ਬਾਵਾ ਖੇਲ) ਵਿੱਚ ਪੁਲਿਸ ਨੂੰ ਲੋੜੀਂਦਾ ਹੈ ਅਤੇ ਅਦਾਲਤ ਵੱਲੋਂ ਕਾਨੂੰਨ ਦਾ ਭਗੌੜਾ ਐਲਾਨਿਆ ਜਾ ਚੁੱਕਾ ਹੈ।
ਗੋਲੀ ਕਾਂਡ ਦੇ ਦੋਸ਼ੀ ਨੂੰ ‘ਨਿੱਜੀ ਮਹਿਮਾਨ’ ਵਾਂਗ ਮਿਲੇ SHO!
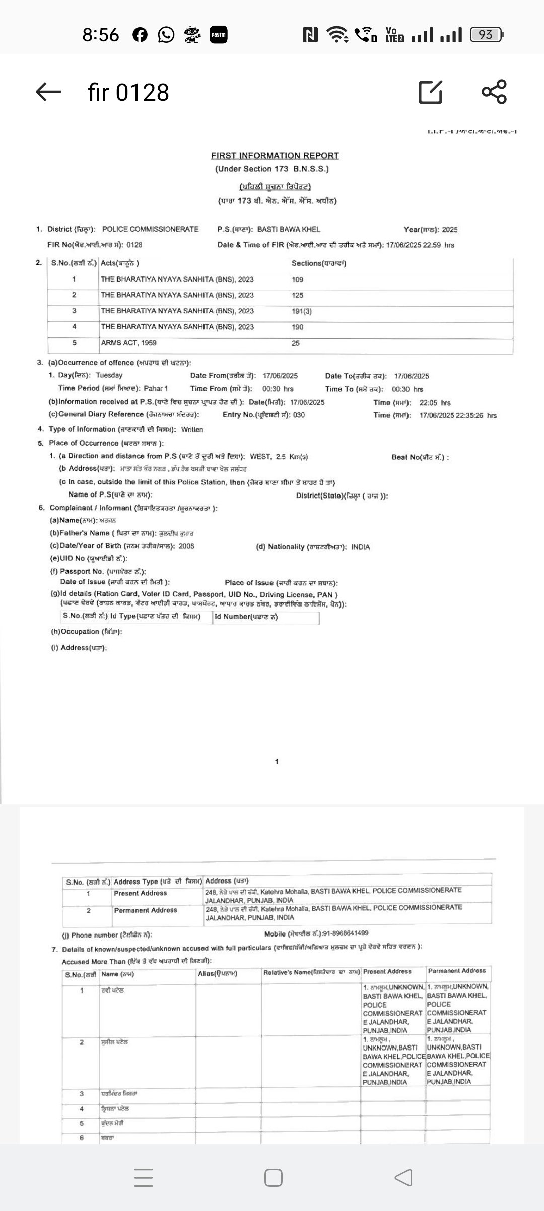
ਮਿਸ਼ਰਾ ਖਿਲਾਫ਼ ਦਰਜ FIR ਵਿੱਚ ਆਰਮਜ਼ ਐਕਟ 1959 ਦੀ ਧਾਰਾ 25 (ਗੈਰ-ਕਾਨੂੰਨੀ ਹਥਿਆਰ ਰੱਖਣ) ਸਮੇਤ BNS 2023 ਦੀਆਂ ਧਾਰਾਵਾਂ ਤਹਿਤ 7 ਲੋਕਾਂ ‘ਤੇ ਪਰਚਾ ਦਰਜ ਹੈ। ਇਸ ਤਰ੍ਹਾਂ ਦੇ ਖਤਰਨਾਕ ਮੁਲਜ਼ਮ ਨਾਲ SHO ਦਾ ਨਾਕੇ ‘ਤੇ ਖੁੱਲ੍ਹੇਆਮ ਗੱਲਬਾਤ ਕਰਨਾ ਸਿਰਫ਼ ਇੱਕ ਲਾਪਰਵਾਹੀ ਨਹੀਂ, ਬਲਕਿ ਵੱਡੀ ਮਿਲੀਭੁਗਤ ਦਾ ਸੰਕੇਤ ਹੈ।
SHO ਦਾ ‘ਕੋਰਟ ਆਰਡਰ’ ਦਾ ਝੂਠ: ਫਰਾਰ ਆਰੋਪੀ ਨੇ ਖੁਦ ਖੋਲ੍ਹੀ ਪੋਲ
ਇਸ ਮਾਮਲੇ ਨੂੰ ਕੇ ਨਹਿਰ ਦੇ ਕੋਲ ਜਿਦੋ ਪੁਸ਼ੀਆ ਗਿਆ ਕਿ ਤੁਸੀਂ ਕੋਈ ਆਰਡਰ ਲੈ ਕੇ ਆਏ ਹੋ ਤਾਂ ਧਰਮਿੰਦਰ ਮਿਸ਼ਰਾ ਨੇ ਸਾਫ਼ ਕਿਹਾ ਸੀ ਕੇ ਕੋਈ ਆਰਡਰ ਨਹੀਂ ਲੈ ਕੇ ਆਇਆ ਇਸ ਤੋ ਬੈਡ ਮਿਸ਼ਰਾ ਆਪਣੇ ਪੇਜ ਤੇ ਲਾਈਵ ਹੋ ਕੇ sho ਵਲੋਂ ਓਹਨਾ ਦੇ ਕੋਰਟ ਆਰਡਰ ਨਹੀਂ ਲਏ ਗਏ ਦਾ ਆਰੋਪ ਲੈਂਦੇ ਰਹੇ ।
ਮਾਮਲਾ ਸਾਹਮਣੇ ਆਉਣ ‘ਤੇ SHO ਨੇ ਦਾਅਵਾ ਕੀਤਾ ਕਿ ਗੋਲੀ ਕਾਂਡ ਦਾ ਦੋਸ਼ੀ ਮਿਸ਼ਰਾ ‘ਸ਼ਾਮਲ-ਏ-ਤਫਤੀਸ਼’ ਹੋਣ ਲਈ ‘ਕੋਰਟ ਆਰਡਰ’ ਲੈ ਕੇ ਆਇਆ ਸੀ। ਪਰ SHO ਦੇ ਇਸ ਝੂਠ ਦੀ ਹਵਾ ਉਦੋਂ ਨਿਕਲ ਗਈ, ਜਦੋਂ ਖੁਦ ਧਰਮਿੰਦਰ ਮਿਸ਼ਰਾ ਨੇ ਪੱਤਰਕਾਰਾਂ ਨਾਲ ਗੱਲ ਕਰਦਿਆਂ ਮੰਨਿਆ ਕਿ ਉਹ ਕੋਈ ਕਾਨੂੰਨੀ ਹੁਕਮ ਲੈ ਕੇ ਨਹੀਂ ਆਇਆ ਸੀ।
ਸਵਾਲ: ਕੀ ਪੁਲਿਸ ਦੇ ਹੱਥ ਬੰਨ੍ਹੇ ਹੋਏ ਹਨ ਜਾਂ ਨੀਅਤ ਖਰਾਬ?
ਜਦੋਂ ਗੋਲੀ ਕਾਂਡ ਦਾ ਲੋੜੀਂਦਾ ਮੁਲਜ਼ਮ, ਜੋ ਕਿ ਅਦਾਲਤ ਵੱਲੋਂ ਭਗੌੜਾ ਵੀ ਹੈ, ਬਿਨਾਂ ਕਿਸੇ ਕੋਰਟ ਆਰਡਰ ਦੇ ਪੁਲਿਸ ਸਾਹਮਣੇ ਖੜ੍ਹਾ ਸੀ, ਤਾਂ SHO ਨੇ ਉਸਨੂੰ ਤੁਰੰਤ ਗ੍ਰਿਫਤਾਰ ਕਿਉਂ ਨਹੀਂ ਕੀਤਾ? ਇਹ ਸਾਫ਼ ਇਸ਼ਾਰਾ ਕਰਦਾ ਹੈ ਕਿ ਜਾਂ ਤਾਂ ਕਾਨੂੰਨ ਲਾਗੂ ਕਰਨ ਵਾਲੇ ਹੱਥ ਸਿਆਸਤ ਨੇ ਬੰਨ੍ਹ ਦਿੱਤੇ ਹਨ, ਜਾਂ ਫਿਰ SHO ਕਿਸੇ ਵੱਡੇ ‘ਰਾਜਨੀਤਿਕ ਮਿਸ਼ਰੇ’ ਦੇ ਇਸ਼ਾਰੇ ‘ਤੇ ਅਪਰਾਧੀ ਨੂੰ ਬਚਾਉਣ ਦੀ ਕੋਸ਼ਿਸ਼ ਕਰ ਰਿਹਾ ਹੈ।
ਜਲੰਧਰ ਵਿੱਚ ਇਹ ਦੂਜੀ ਵਾਰ ਹੈ ਜਦੋਂ ਪੁਲਿਸ ਅਧਿਕਾਰੀ ਲੋੜੀਂਦੇ ਅਤੇ ਗੰਭੀਰ ਮੁਲਜ਼ਮਾਂ ਨਾਲ ਖੁੱਲ੍ਹੇਆਮ ਘੁੰਮਦੇ ਨਜ਼ਰ ਆਏ ਹਨ, ਜਿਸ ਨੇ ਸਮੁੱਚੇ ਪੁਲਿਸ ਸਿਸਟਮ ‘ਤੇ ਵੱਡਾ ਸਵਾਲ ਖੜ੍ਹਾ ਕਰ ਦਿੱਤਾ ਹੈ।
ਕਾਨੂੰਨੀ ਭਗੌੜਾ: ਕੋਈ ਵੀ ਪੁਲਿਸ ਮੁਲਾਜ਼ਮ ਕਾਨੂੰਨੀ ਭਗੌੜੇ ਨੂੰ ਦੇਖਦੇ ਹੀ ਗ੍ਰਿਫਤਾਰ ਕਰਨ ਲਈ ਪਾਬੰਦ ਹੈ। SHO ਨੇ ਕਾਨੂੰਨ ਦੀ ਸਿੱਧੀ ਉਲੰਘਣਾ ਕੀਤੀ।
ਸਵਾਲ: ਸ਼ਾਮਲ ਤਫਤੀਸ਼ ਲਈ ਨਾਕਾ? ਕੀ ਪੁਲਿਸ ਹੁਣ ਥਾਣੇ ਦੀ ਬਜਾਏ ਨਾਕਿਆਂ ‘ਤੇ ਤਫਤੀਸ਼ ਕਰੇਗੀ, ਜਾਂ ਇਹ ਮੁਲਜ਼ਮ ਨੂੰ ‘ਬਚਾ ਕੇ ਲੰਘਾਉਣ’ ਦਾ ਗੁਪਤ ਤਰੀਕਾ ਸੀ ?

















